太阳能光热一体化在联想园区B座综合办公楼中的应用

曾令锐 李庆达 李 蓉 李伟铭 王海丰

中建三局集团有限公司 北京 100097

摘要:开发利用太阳能,用太阳能部分取代常规能源,可降低建筑能耗。结合太阳能光热一体化在融科智地联想园区B座综合办公楼中的应用情况,阐述了公共建筑屋面设置太阳能热水系统的设计原理、计算方法、智能控制、施工要点及其应用效益,为公共建筑合理高效地利用太阳能提供了经验。

关键词:绿色建筑 太阳能集热器 热管真空管 光热一体化

随着全球范围内的能源供应紧缺,以太阳能、地热能等为代表的可再生能源越来越受到人们的关注。太阳能光热建筑一体化已经逐步开始在建筑工程中实践应用,但其主要实践对象是住宅建筑,对公共建筑关注较少,特别是对数量大、能耗高的办公建筑而言,研究实践极少。而公共建筑却有着综合利用太阳能的先天优势:屋面空间大、能源设备投入基数较大、设备整体智能控制协调较容易、节能效果显著等。作为太阳能与建筑一体化的一种重要形式,太阳能生活热水系统在公共建筑中的推广应用对于推动建筑节能减排等具有较大意义[1-2]

1 工程概况

1.1 总体概况

融科智地联想园区B座综合办公楼位于北京市海淀区,是联想控股下联想园区的收官之作。本工程地下4层、地上18层,建筑高度80.00 m,1~3层层高5.00 m,4~17层层高4.10 m,18层层高5.50 m,总建筑面积为96 983 m2,是集餐饮、影院、购物、办公室、会议室及各类机房于一体的高端商务写字楼(图1)。

图1 项目效果图

1.2 太阳能热水系统工程概况

本工程太阳能热水系统提供9~18层公共卫生间洗手盆热水,每层设计8个洗手盆,共计80个,全年白天用水。集热器及热水机房设在18层屋面,集热器采用平铺式安装,每组集热器采光面积4.31 m2,由16支100 mm×2 000 mm的热管真空管组成,共56组,即集热器采光总面积为241.36 m2。设计热水温度50℃,太阳能保证率60%,在太阳能热水系统不能保证的时间,采用电加热作为辅助热源,日用水量25 m3(图2)。

图2 主楼屋面太阳能热水系统

2 太阳能热水系统设计

2.1 设计原理

太阳能热水系统利用位于主楼屋面的太阳能集热器阵列将真空集热管内的乙二醇加热,通过集热器循环泵、换热循环泵使得加热后的乙二醇与太阳能水箱中的水进行热交换,将乙二醇的热量传递给太阳能水箱中的水。在热水供水泵和热水循环泵的共同作用下,太阳能生活水箱中的水即可实现各楼层生活热水的正常用水(图3)。

图3 屋面太阳能生活热水系统原理示意

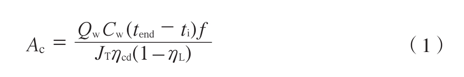
2.2 热管真空管太阳能集热器的采光面积计算

根据GB/T 18713—2002《太阳热水系统设计、安装及工程验收技术规范》,系统太阳集热器的采光面积可以按如下公式计算[3-4]

式中:Ac——系统集热器采光面积,m2

Qw——日均用水量,本工程取25 000 kg;

Cw——水的定压比热容,一般取4.187 kJ/(kg·℃);

tend——贮水箱内水的设计温度,本工程取50℃;

ti——水的初始温度,本工程取10℃;

JT——当地集热器采光面上的年平均日太阳能辐照量,北京地区取17 217 kJ/m2

f——太阳能保证率,北京地区取60%;

ηcd——基于采光面积的集热器年平均集热效率,根据厂家产品检测报告取68%;

ηL——系统损失,取10%。

经代入数据计算Ac=238 m2。根据厂家集热器型号,选用C4-SD1×16型水平热管集热器,每组集热器采光面积为4.31 m2,则共需集热器55.20组,结合现场情况,安装56组集热器,分4行14列进行布置,实际集热器采光面积Ac=241.36 m2

3 太阳能热水系统智能控制

太阳能热水系统的智能控制是其正常运行的关键。本工程太阳能热水系统采用智能化全自动控制,在安装调试投用后不需要人值守操作,就能够保证水箱中存放的是达到使用要求的热水,提供所需水量和水温要求的热水;可以手动/自动操作切换;具有水位、水温显示及设置;自动上水、手动加热、恒温控制、防干烧、防冻、漏电保护等多重保护性能。采用温差循环控制,在集热器热水出口处设温度传感器T1,在水箱出水口处设温度传感器T2,在热水回水管道设温度传感器T3,在太阳能水箱内设置水位测量仪,控制柜通过对温度和水量等数据的采集分析实现智能控制。

1)温差循环系统:温度传感器将集热器出口温度T1、水箱温度T2传递给控制器。当T1-T2>启动设定值时,控制器发出控制信号,启动太阳能循环泵及水箱换热泵,系统开始循环,不断地将集热器产生的热量通过板式换热器置换到太阳能水箱。这是一个反复循环的过程,随着水箱内热水温度不断提高,T1T2之间温差越来越小,直至T1-T2<关闭设定值时,控制器发出控制信号,关闭太阳能循环水泵。本系统温差循环启动设定值默认为6 K,可调范围为5~10 K,通过定时上水键来调节;温差循环关闭设定值默认为2 K,可调范围1~5 K,通过设置键来调节。

2)补水系统:采用低水位补水和定温补水相结合的方式进行自动补水。

(1)低水位补水:在用水过程中,水箱中水位使用到下限时,水位传感器自动开启电磁阀进行补水,直到水箱水位达到水位设定上限值,关闭电磁阀。

(2)定温补水:在太阳能加热过程中,系统采用强制循环加热,水箱中的水经太阳能集热器不断加热,温度会不断提升。当水箱中水温超过设定温度50℃时,控制器开启电磁阀对水箱进行补水,补入水箱的是冷水,经水箱中冷热混水,水温下降。直到水温降到设定下限时,控制器关闭电磁阀停止上水,继续循环加热。此时若水箱处于满水位,则关闭补水电磁阀。

3)辅助电加热系统:在长期阴雨天的情况下,太阳能加热出的热水满足不了使用需求时,热水系统就不能正常使用。为了保证热水能够定时定量地提供,本系统采用电辅热,作为太阳能的辅助热源。在用水时间段,当水箱内的温度T2≤45℃时,启动电辅助加热器,对水箱进行二次加热;当水箱内的温度T2≥50℃时,关闭电辅助加热器(可设置)。

4)管路防冻:本系统室外管道只有太阳能循环管路,管路内采用乙二醇防冻液(-25℃)作为换热介质,北京地区冬天没有结冻危险。管道外包厚30 mm橡塑保温,并做镀锌板保护层,减少管道热损。

5)供水:本系统采用变频供水控制,变频控制柜根据管道压力变化,控制供水泵启动或关闭。当管道压力低于设定值时(可设为0.20 MPa),启动供水泵;当管道压力高于设定值时(可设为0.40 MPa),关闭供水泵。

6)即开即热:当管道回水温度T3低于设定温度时(可设定为45℃),开启回水泵,将管路内的低温热水打入水箱,此时,供水泵自动打开,将水箱内的高温水顶入供水循环管道内。当管道回水温度T3高于设定温度时(可设定为52℃),关闭回水泵。

7)过热保护:在天气很好的情况下,很容易就能够加热出一箱热水,若此时用水量很少,整箱水还会通过强制循环加热持续升温,考虑水箱的安全使用和用水不至于过热等因素,我们设定水箱高温保护。即当贮水箱中的温度T2>设定温度时(可设置为70℃),微电脑控制器停止循环加热,使太阳能系统不再实行温差循环集热。当水箱中水温<55℃时,温差循环重新启动运行。

8)报警:当水箱水位低于保护水位,停止循环泵,控制柜报警;当水箱水温高于80℃时,控制柜报警[5-7]

4 太阳能热水系统施工

施工流程:集热器和管道等设备基础施工(含埋件预埋)→屋面集热器安装→水箱及相应管路安装→水泵安装→管道系统压力试验→管道冲洗→管路保温→控制柜及电气部分安装→安装集热管→系统调试→添加防冻液→系统验收。

热管真空管太阳能集热器空晒时间过长会导致管内温度升高,超出其正常使用范围,影响集热管使用寿命,故需在系统管道安装完毕、通水试验合格后才可进行热管真空管插管的工序。安装过程中按照集热器热管排列顺序安插,并用喉箍固定热管,调整防尘帽,防止灰尘进入集热器。已安装并验收合格的太阳能热水系统在投入正常使用前需将集热管进行遮盖。

5 太阳能热水系统应用效益分析

太阳能热水系统在建筑一体化领域中应用节能效果非常明显,据文献分析,北京地区1.5×105 m2住宅小区,安装集热器面积3 939.75 m2,日太阳能供应生活热水量270 t,该太阳能热水系统全年节能可达9.90×106 MJ(相当于2.75×106 kW·h电量),在15 a的寿命期内,其总节约能量为1.49×108 MJ(相当于4.13×107 kW·h电量)。

从本工程太阳能热水系统的应用情况来看,其经济效益并不乐观,在太阳能热水系统正常使用周期(15 a)内,总体成本将始终高于使用电热水器系统。

根据《北京市太阳能热水系统项目补助资金管理暂行办法》对于符合条件的两限房、普通商品房、公共建筑及工业企业安装使用太阳能热水系统,按实际安装集热器面积给予200元/m2的市政府固定资产投资资金补助。本工程太阳能热水系统可申请政府补贴金额为4.83万元人民币,对于降低太阳能热水系统的使用成本有一定的帮助[8-10]

6 结语

屋面是城市建筑中太阳能有效利用的最佳场所,屋面太阳能生活热水系统不仅可提供人们日常生活所需的热水,同时也可减少太阳光对屋面的直射,为室内提供更加良好的环境,相对于使用化石燃料,利用太阳能绿色环保、节能减排效果显著。与此同时,太阳能热水系统受天气影响较大,并无可观的经济效益,虽政府目前已有针对性的补贴政策出台,但补贴力度还需进一步加大。本文介绍的太阳能光热建筑一体化可作为公共建筑应用屋面太阳能热水系统的参考,从而更好地促进建筑节能的发展。

◇◇ 参考文献 ◇◇

[1] 王建华,吴季平,徐伟.太阳能应用研究进展[J].水电能源科学,2007(4):155-158.

[2] 刘宇.山东省太阳能热水系统与住宅一体化设计应用研究[D].济南:山东建筑大学,2013.

[3] 王毅.太阳能热水系统在住宅中的应用[J].住宅产业,2011(11):55-57.

[4] 李睿,张莹.太阳能热水系统在住宅设计中的应用分析[J].山西建筑,2012(23):141-142.

[5] 刘铭.民用建筑太阳能热利用系统节能效益分析[D].北京:清华大学,2012.

[6] 顾亮杰.太阳能热水系统在住宅建筑中应用的经济效果评价及政策建议[D].西安:西安建筑科技大学,2014.

[7] 安文韬,刘彦丰.太阳能光伏光热建筑一体化系统的研究[J].应用能源技术,2007(11):33-35.

[8] 李冰,李凯,扈峥.太阳能光热建筑一体化的应用现状及展望[J].四川建筑,2012(4):34-36.

[9] 刘林军.太阳能光热系统与建筑一体化应用研究[J].廊坊师范学院学报:自然科学版,2011(1):73-74.

[10] 张振彦,邰惠鑫,陈鑫如.太阳能光热技术与建筑一体化设计探讨[J].浙江工业大学学报,2006(4):444-447.

Solar Photo-Thermal Integration Applied to Comprehensive Office Building B in Lenovo Park

ZENG Lingrui LI Qingda LI Rong LI Weiming WANG Haifeng
China Construction Third Engineering Bureau Group Co., Ltd. Beijing 100097

Abstract: Developing and using solar energy instead of traditional energy can reduce energy consumption of the building.Combined with the solar photo-thermal integration applied to the Comprehensive Office Building B in Raycom Lenovo Park, this paper introduces the design principle, the calculation method, the intelligent control, the construction points and the application effect of the solar water heating system on the public building roof, which can provide the experience of using solar energy efficiently and reasonably for the public building.

Keywords: solar thermal collector heat pipe vacuum tube green building photo-thermal integration

中图分类号:TU761.1+2

文献标志码:B

DOI:10.14144/j.cnki.jzsg.2015.12.037

作者简介:曾令锐(1988—),男,本科,助理工程师。

通信地址:北京市海淀区板井路69号世纪金源商务中心东区10楼(100097)。

收稿日期:2015-08-18